Bilangan pecahan adalah salah satu materi penting di sekolah dasar, khususnya kelas 4–6. Anak-anak mulai belajar penjumlahan, pengurangan, perkalian, dan pembagian pecahan. Pemahaman yang baik akan memudahkan mereka mengerjakan soal matematika lebih kompleks.
Materi yang dibahas di sini mencakup:
-
Pecahan biasa
-
Penjumlahan pecahan senilai dan tidak senilai
-
Pengurangan pecahan
-
Perkalian pecahan
-
Pembagian pecahan
Apa Itu Bilangan Pecahan?
Bilangan pecahan adalah bilangan yang menyatakan bagian dari keseluruhan.
Rumus umum:
Pecahan=pembilangpenyebut\text{Pecahan} = \frac{\text{pembilang}}{\text{penyebut}}
Contoh: 3/4 artinya 3 bagian dari 4 bagian total.
Mengapa Pecahan Penting?
Pecahan digunakan dalam kehidupan sehari-hari, misalnya:
-
Membagi kue atau pizza
-
Menghitung uang pecahan
-
Mengukur panjang, berat, atau volume
Pecahan juga adalah dasar untuk memahami desimal dan persen di kelas yang lebih tinggi.
1. Penjumlahan dan Pengurangan Pecahan
A. Penjumlahan Pecahan Senilai
Jika penyebut sama, jumlahkan pembilang langsung:
B. Penjumlahan Pecahan Tidak Senilai
Langkah-langkah:
-
Cari KPK penyebut
-
Ubah pecahan agar penyebut sama
-
Jumlahkan pembilang

C. Pengurangan Pecahan
Sama seperti penjumlahan, jika penyebut berbeda, samakan dulu:

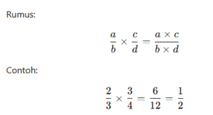
2. Perkalian Pecahan
Tips cepat: sederhanakan pecahan sebelum dikalikan.
3. Pembagian Pecahan
Tips Cepat Menguasai Pecahan
-
Hafalkan rumus dasar
-
Latihan soal 10–15 per hari
-
Gunakan alat bantu visual (kertas, kue, uang)
-
Ulangi latihan perkalian dan pembagian pecahan
FAQ
Apa perbedaan pecahan senilai dan tidak senilai?
Senilai → penyebut sama, Tidak senilai → penyebut berbeda.
Bagaimana cara menambahkan pecahan tidak senilai?
Samakan penyebut dulu, baru jumlahkan pembilang.
Bagaimana menghitung perkalian pecahan dengan bilangan bulat?
Ubah bilangan bulat menjadi pecahan dengan penyebut 1, lalu kalikan.
Mengapa pecahan penting untuk SD kelas 4–6?
Sebagai dasar untuk desimal, persen, dan perhitungan lanjutan.
Bisa belajar pecahan tanpa guru privat?
Bisa, tapi latihan rutin dan visualisasi mempermudah pemahaman.

baca artikel sebelumnya:
Pecahan Campuran dan Desimal: Materi Matematika Kelas 4–6 SD


