Saat pertama melihat angka seperti ini:
2, 4, 6, 8, 10, …
atau
3, 6, 12, 24, …
banyak siswa bingung:
ini harus diapakan?
Padahal materi barisan dan deret justru termasuk materi matematika yang paling mudah dipahami karena berbasis pola.
Kalau kamu bisa melihat pola, kamu bisa menyelesaikan soal tanpa menghafal banyak rumus.
Materi ini juga sering keluar di ujian sekolah dan ujian masuk perguruan tinggi.
Pengertian Barisan
Barisan adalah susunan angka yang mengikuti pola tertentu.
Setiap angka disebut suku.
Contoh:
5, 7, 9, 11, 13
Suku pertama = 5
Suku kedua = 7
Suku ketiga = 9
Ditulis:
U₁, U₂, U₃, U₄ …
Pengertian Deret
Deret adalah penjumlahan barisan.
Contoh:
5 + 7 + 9 + 11 + 13
Barisan = daftar angka
Deret = jumlahnya
Jenis Barisan
Ada 2 yang paling penting:
-
Barisan Aritmatika (beda tetap)
-
Barisan Geometri (rasio tetap)
BARISAN ARITMATIKA
Ciri
Selisih antar suku sama.
Contoh:
2, 5, 8, 11, 14
Selisih = 3
Rumus Suku ke-n
Un=a+(n−1)b
Keterangan:
a = suku pertama
b = beda
n = nomor suku
Contoh Soal
Barisan:
3, 7, 11, 15…
a = 3
b = 4
Cari U₁₀
U10=3+9(4)=39
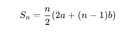
Deret Aritmatika

Contoh
Jumlah 10 suku pertama barisan 2,4,6,8…
a=2 b=2 n=10
S10=10/2(4+18)=5×22=110
BARISAN GEOMETRI
Ciri
Perbandingan antar suku sama.
Contoh:
3, 6, 12, 24
Rasio = 2
Rumus Suku ke-n

Contoh
2, 6, 18, 54…
a=2 r=3
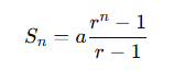
Deret Geometri
Contoh
Jumlah 5 suku pertama:
2,4,8,16,32

Cara Membedakan Aritmatika & Geometri
| Cek | Jenis |
|---|---|
| tambah tetap | aritmatika |
| kali tetap | geometri |
Contoh Soal Campuran
Tentukan jenis dan U₇:
-
4, 7, 10, 13…
-
5, 15, 45…
-
2, 6, 10, 14…
-
3, 9, 27…
-
8, 12, 16…
Latihan Soal
-
U₁₅ barisan 6,9,12…
-
Jumlah 20 suku pertama 3,5,7…
-
U₈ geometri 2,4,8…
-
Jumlah 6 suku pertama 5,10,20…
-
Tentukan beda dan rasio
Cara Cepat Memahami
Jangan hafal rumus dulu.
Lihat pola:
naik pakai tambah → aritmatika
naik pakai kali → geometri
Rumus hanya alat cepat.
Kesalahan Umum
-
Salah menentukan beda
-
Salah menentukan rasio
-
Lupa n−1
-
Salah menghitung pangkat
-
Tertukar Un dan Sn
Penerapan Dalam Kehidupan
Barisan dipakai pada:
-
tabungan bank
-
bunga majemuk
-
pertumbuhan bakteri
-
cicilan
-
teknologi komputer
FAQ
Q: Mana lebih mudah?
Aritmatika.
Q: Geometri selalu besar?
Tidak, bisa mengecil.
Q: Harus hafal rumus?
Tidak, pahami pola dulu.
Q: Kenapa ada n−1?
Karena suku pertama tidak ditambah.
Q: Materi ini penting?
Sangat sering keluar ujian.
Barisan dan deret adalah matematika tentang pola.
Jika kamu bisa membaca pola, kamu bisa menyelesaikan soal tanpa menghafal banyak rumus.
Kuncinya:
lihat perubahan angka.
Matematika bukan hafalan, tapi pengamatan.

baca artikel sebelumnya:
Fungsi Kuadrat: Pengertian, Grafik Parabola, Rumus, Contoh Soal & Cara Cepat Memahaminya

