More
    HomeUncategorizedMengenal Tokoh Matematika Dunia untuk Anak

    Mengenal Tokoh Matematika Dunia untuk Anak

    Published on

    spot_img

    Mengenal Tokoh Matematika Dunia untuk Anak

    Matematika bukan hanya tentang angka dan rumus, tetapi juga tentang tokoh-tokoh besar yang berjasa mengembangkannya. Mengenalkan anak pada tokoh matematika dunia dapat menumbuhkan rasa kagum dan semangat belajar.

    Beberapa tokoh penting dalam sejarah matematika:

    1. Pythagoras – terkenal dengan Teorema Pythagoras tentang segitiga siku-siku.
    2. Euclid – disebut sebagai Bapak Geometri yang menulis Elements, buku penting dalam matematika.
    3. Al-Khwarizmi – ilmuwan Muslim yang memperkenalkan konsep aljabar.
    4. Isaac Newton – menemukan kalkulus dan hukum gerak yang sangat penting dalam ilmu pengetahuan.

    Contoh Operasi Matematika

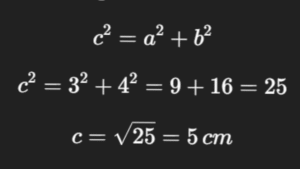
    Dari Teorema Pythagoras yang ditemukan Pythagoras:

    Jika sebuah segitiga siku-siku memiliki panjang sisi tegak a = 3 cm dan b = 4 cm, maka panjang sisi miring (c) dapat dicari dengan rumus:

    Jadi, panjang sisi miring segitiga adalah 5 cm.

    Sumber Rujukan

    BSE Matematika SMP/MTs Kelas VIII, Bab Teorema Pythagoras, hal. 65–66 (Kurikulum 2013 Revisi).

    Latest articles

    Integral Tak Tentu (Kelas 12 SMA): Pengertian, Rumus Dasar, dan Contoh Soal Lengkap

    Jika turunan (derivative) adalah proses memecah, maka integral adalah proses menyusun kembali. Di kelas...

    Keliling dan Luas Bangun Datar (Kelas 4 SD): Pengertian, Rumus, dan Contoh Soal Lengkap

    Matematika di kelas 4 SD mulai mengenalkan konsep geometri dasar, salah satunya adalah keliling...

    Sistem Persamaan Linear Dua Variabel (SPLDV) – Kelas 8 SMP: Pengertian, Metode, dan Contoh Soal Lengkap

    Matematika di kelas 8 SMP mulai mengajak kita berpikir lebih logis dan sistematis. Salah...

    Pecahan Campuran (Kelas 6 SD): Pengertian, Cara Menghitung, dan Contoh Soal Lengkap

    Matematika di kelas 6 SD mulai memperkenalkan konsep yang lebih kompleks, salah satunya adalah...

    More like this

    Integral Tak Tentu (Kelas 12 SMA): Pengertian, Rumus Dasar, dan Contoh Soal Lengkap

    Jika turunan (derivative) adalah proses memecah, maka integral adalah proses menyusun kembali. Di kelas...

    Keliling dan Luas Bangun Datar (Kelas 4 SD): Pengertian, Rumus, dan Contoh Soal Lengkap

    Matematika di kelas 4 SD mulai mengenalkan konsep geometri dasar, salah satunya adalah keliling...

    Sistem Persamaan Linear Dua Variabel (SPLDV) – Kelas 8 SMP: Pengertian, Metode, dan Contoh Soal Lengkap

    Matematika di kelas 8 SMP mulai mengajak kita berpikir lebih logis dan sistematis. Salah...